欢迎来南通申东冶金机械有限公司官网! |加入收藏|设为首页
全国服务热线0513-83858103
HCF型除氟过滤器

加入时间:2016-3-26 15:11:09  点击:

一、概 述
      人体中微量的氟主要来自饮水,氟对人体健康有一定的影响,当长期饮用含氟化物过高的水,重者骨骼发育受到影响,甚至丧失活动能力,因此《生活饮用水卫生标准》规定,生活饮用水氟化物的含量不得超过1.0毫克/升。

二、净化原理
      我公司生产的SD-HCF型除氟过滤器,当含氟量小于10mg/l的地下水通过过滤器,氟及氟化物被吸附在吸附剂表面,生成难溶氟化物。使出水氟化物含量≤1.0mg/l,达到生活饮用水标准。
      当除氟能力降低到一定极限值,即除氟能力达不到规定时,可用再生剂再生,恢复吸附除氟能力。

三、主要技术指标
      1、原水含氟量:小于10mg/l
      2、滤速:2.5-3m/h
      3、工作压力:0.3MPa
      4、反冲洗强度:11-12 l/m2·S
      5、反冲洗时间:8-10min

四、安装流程图

五、除氟过滤器外形图

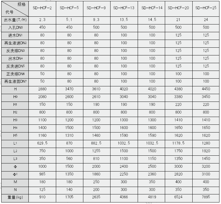
六、主要数据表

上一页:CTM型除铁除锰过滤器
下一页:QL型纤维球过滤器
南通申东冶金机械有限公司 南通申东滤器制造有限公司 地址:江苏省启东市民主工业区118号
总机: 0513-83358129 销售热线: 0513-83117130 服务热线: 0513-83858103 传真: 0513-83358113
E-mail: webmaster@sd-filter.com 邮编: 226223